مفهوم کشش در اقتصاد
کشش (Elasticity) برای یافتن میزان حساسیت یک پارامتر نسبت به تغییرات یک پارامتر دیگر استفاده می شود؛ این مفهوم که با مشتق در ریاضیات مرتبط است، توسط اقتصاددان بزرگ آلفرد مارشال وارد علم اقتصاد شده است. کشش در واقع بیانگر نسبت تغییرات یک متغیر روی متغیر دیگر است؛ اگر اقتصاددانان تمایل داشته باشند بدانند که با افزایش قیمت کالای الف، مقدار فروش آن چه تغییری می کند و یا اینکه تغییرات نهاده کار چه تاثیری بر نهاده سرمایه دارد، از این مفهوم استفاده می کنند.
در علم اقتصاد کشش های متفاوتی محاسبه می شود که در این مقاله شما می توانید با مهم ترین آنها آشنا شوید.
کشش قیمتی تقاضا
کشش قیمتی تقاضا درصد تغییرات مقدار تقاضا نسبت به تغییرات قیمت است که به صورت رابطه زیر نمایش داده می شود:
در این فرمول ΔQ تغییر در مقدار و ΔP تغییر در قیمت کالای x است. باید توجه داشت که عکس شیب منحنی تقاضا یعنی تنها جزئی از رابطه کشش تقاضا است و مقدارش منفی است. زیرا قیمت و مقدار در جهت عکس هم هستند. یعنی وقتی P افزایش می یابد، Q کاهش می یابد و بالعکس. بنابراین بطور طبیعی کشش قیمتی تقاضا منفی است.
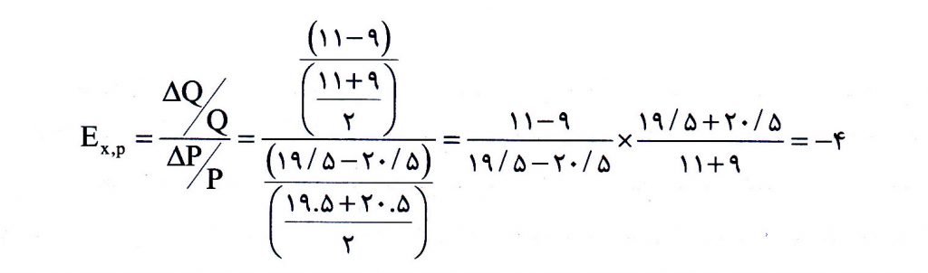
مثال) فرض کنید قیمت کالایی از 20.5 دلار به 19.5 دلار برسد. در این حالت تقاضا برای این کالا از 9 عدد به 11 عدد می رسد. کشش قیمتی تقاضا را محاسبه نمایید.
همانطور که اشاره شد ΔQ برابر است با تغییر در میزان تقاضا. از آنجا که تقاضا از 9 به 11 رسیده است لذا 2 واحد (یازده منهای نه) تغییر داشته است. ΔP نیز برابر است با تغییر قیمت که برابر است با منفی یک واحد چرا که از 20.5 دلار به 19.5 دلار رسیده است. برای Q و P نیز از میانگین قیمت ها در فرمول فوق استفاده می شود. (میانگین برابر است با مجموع قیمت ها تقسیم بر دو که 2 در صورت و 2 در مخرج با یکدیگر ساده می شوند و در محاسبه نهایی اینطور به نظر می رسد که از مجموع به جای میانگین استفاده شده است.)
حال به تفسیر مقدار عددی کشش قیمتی تقاضا می پردازیم:
عدد 4- بدین معنا است که هر 1% تغییر در قیمت باعث 4% تغییر در تقاضا و در جهت عکس (به دلیل علامت منفی) می شود. به عنوان مثال 1% افزایش قیمت باعث 4% کاهش تقاضا می شود و این نشان می دهد که مصرف کنندگان به قیمت بسیار حساس هستند.
دقت نمایید که کشش قیمتی تقاضا به واحد اندازه گیری حساس نیست. مثلاً اگر میزان تقاضا را به جای اینکه بر حسب کیلوگرم بیان کنیم، بر حسب تن بیان نماییم، این عدد تغییری نمی کند.
تقسیم بندی کالاها بر اساس کشش قیمتی تقاضا
با توجه به مقدار کشش قیمتی (بدون در نظر گرفتن علامت آن) تقاضای یک کالا، آن را در گروه های مختلف و به صورت زیر تقسیم بندی می نمایند:
- E>1: با کشش (پُر کشش) – میزان تقاضا برای کالا، به قیمت آن بسیار حساس است. با کمی افزایش قیمت، تقاضا به مقدار زیادی کاهش می یابد.
- E<1: کم کشش (بی کشش) – میزان تقاضا برای کالا، به قیمت آن چندان حساس نیست. با افزایش قیمت، تقاضا برای آن کالا تغییر خاصی نمی کند. مثلاً با افزایش قیمت انسولین، بیماران قندی همچنان مجبور به استفاده از آن هستند و تقاضای کالا تغییر چندانی نخواهد داشت.
- E=1: کالا کشش واحد دارد.
- E=0: کالا کاملاً بی کشش است.
- ∞=E: کاملاً با کشش است (کشش بی نهایت).
عوامل موثر بر کشش قیمتی تقاضا
- تعداد جانشین های کالا: هرچه تعداد جانشین های کالایی، بیشتر و بهتر باشد، کشش قیمتی آن بیشتر است.
- سهم کالا در بودجه فرد: هرچه سهم کالا در بودجه فرد بیشتر باشد (به زبان ساده، کالا از اهمیت زیادی برای شخص برخوردار باشد)، کشش آن بیشتر می شود.
- قیمت کالا: معمولاً هرچه قیمت افزایش یابد، کشش نیز بیشتر می شود (کالاهای گران تر از کشش بالاتری برخوردارند).
- زمان: معمولاً در افق زمانی طولانی، به دلیل امکان واکنش و تغییر رفتار مصرف کننده، کشش نیز بیشتر می شود.
کشش درآمدی تقاضا
مقدار تغییر در تقاضا برای یک کالا نسبت به تغییر در درآمد مصرف کننده را کشش درآمدی تقاضا می گویند که با EI نشان داده می شود. کشش تقاضا نسبت به درآمد به صورت زیر اندازه گرفته می شود:
به عنوان مثال اگر کشش درآمدی تقاضا برای یک محصول برابر 2 باشد بدین معنی است که 1% افزایش درآمد شخص باعث افزایش 2 درصدی در میزان تقاضا برای آن کالا می گردد. (علامت مثبت عدد 2 در این مثال نشان دهنده رابطه مثبت درآمد و میزان تقاضا برای آن کالا است.)
بر اساس مقدار کشش درآمدی تقاضا، کالاها به چند دسته تقسیم بندی می شوند:
- کالاهایی که EI مثبت دارند کالاهای عادی نامیده می شوند. کالاهای عادی خود به دو دسته تقسیم می شوند:
- اگر EI بین 0 و 1 بود کالا را یک کالای ضروری می نامند.
- اگر EI بیشتر از 1 بود آن کالا را یک کالای لوکس می نامند.
- کالاهایی که EI منفی دارند کالای پَست نامیده می شوند.
- کالاهایی که EI برابر صفر دارند، کالاهایی هستند که تقاضا برای آنها مستقل از میزان درآمد شخص است.
به عنوان مثال خودرو را می توان یک کالای لوکس در نظر گرفت چرا که با افزایش درآمد اشخاص، معمولاً تقاضا برای آن به سرعت بالا می رود و همینطور با کاهش درآمد اشخاص، تقاضا برای آن به سرعت کاهش می یابد. در مورد کالای پست نیز می توان از سیب زمینی نام برد چرا که با کاهش درآمد افراد میزان استفاده از این کالا (به دلیل ارزان بودن آن) افزایش می یابد.
مفهوم کشش درآمدی تقاضا برای یک واحد تولیدی از نظر تخمین تقاضای محصولی که می فروشد و پیش بینی تقاضا در آینده مهم است.
کشش متقابل تقاضا
میزان تغییر در مقدار تقاضای کالای X نسبت به تغییر در مورد قیمت کالای Y را کشش متقابل تقاضا می نامند که به شکل زیر اندازه گرفته می شود:
در این فرمول ΔQx تغییر در مقدار کالای X و ΔPy تغییر در قیمت کالای Y می باشد. به عنوان مثال فرض کنید اگر کشش متقابل تقاضا در این فرمول برابر 3 شود بدین معنا است که افزایش یک درصدی قیمت کالای Y باعث افزایش سه درصدی در تقاضا برای کالای X می شود. کشش متقابل تقاضا می تواند عددی مثبت، منفی و یا نزدیک به صفر باشد:
- اگر Ex.y مثبت بود، دو کالا جانشین همدیگر هستند به عنوان مثال اگر افزایش قیمت قهوه باعث افزایش تقاضا برای چای شود (کشش متقابل تقاضای مثبت) آنگاه این دو کالا را جانشین می نامیم چرا که بعضی از مصرف کنندگان در صورت گرانی محصول قهوه به سمت استفاده از محصول چای تمایل پیدا خواهند کرد.
- اگر کشش متقابل تقاضا منفی بود بدین معنا است که دو کالا مکمل یکدیگر هستند. به عنوان مثال افزایش قیمت قند (ΔP>0) باعث کاهش مصرف چای (ΔQ<0) می شود. به همین دلیل این دو کالا را مکمل می نامند.
- اگر کشش متقابل تقاضا نزدیک به صفر بود بدین معنا است که با دو کالای مستقل و بی ارتباط به همدیگر مواجه هستیم که تغییر قیمت یکی از این دو کالا تاثیری بر میزان تقاضا برای کالای دیگر ندارد.
دقت نمایید که اگر کشش متقابل تقاضا، عدد بسیار بزرگی بود، احتمالاً دو کالای مورد بررسی در یک صنعت بکار برده می شوند زیرا کشش متقابل تقاضای بزرگ معرف آن است که کالاهای مختلف خیلی به یکدیگر شبیه هستند.
عوامل موثر بر کشش تقاضا
- هرچه تعداد جانشین های کالایی بیشتر باشد، کشش قیمتی آن نیز بیشتر است. مثلاً اگر کالایی جانشین های زیادی داشته باشد، با افزایش قیمت آن مصرف کننده به کالای جانشین روی می آورد.
- هرچه سهم بیشتری از درآمد یک فرد صرف کالایی شود، کشش تقاضای آن بیشتر می شود. مثلاً یک فرد به تغییر قیمت کالایی مثل نمک که بخش کوچکی از درآمد او را به خود اختصاص می دهد حساسیت خیلی کمی نشان می دهد نسبت به مثلاً کالایی که بخش بزرگی از درآمد او را مصرف می کند.
- هرچه تعداد کاربردهای یک کالا بیشتر باشد کشش قیمتی آن نیز بیشتر خواهد بود. افزایش قیمت کالای Y که کاربردهای متعددی دارد سبب می شود تا از آن در موارد کم اهمیت تر کمتر استفاده شود.
- هرچه قیمت یک کالا کمتر باشد واکنش مصرف کننده نسبت به تغییرات قیمت آن کمتر است.
- هرچه طول دوره زمانی تصمیم گیری بیشتر باشد، کشش تقاضا بزرگتر خواهد شد؛ زیرا امکان یافتن کالاهای مشابه و جانشین در بلندمدت بیشتر خواهد بود.
کشش قیمتی عرضه
کشش قیمتی عرضه درصد تغییر مقدار عرضه یک کالا را نسبت به درصد تغییر قیمت آن اندازه گیری می کند و فرمول آن به صورت زیر می باشد:
مثلاً کشش قیمتی عرضه برابر 2 بدین معنا است که با 1% افزایش قیمت یک محصول، میزان عرضه آن 2% افزایش می یابد:
- اگر ES بزرگتر از یک باشد، عرضه با کشش است بدین معنا که تغییر کمی در قیمت آن کالا باعث تغییر قابل توجهی در مقدار عرضه آن کالا می شود.
- اگر ES مساوی یک بود دارای کشش واحد است.
- اگر ES کوچکتر از یک باشد کم کشش است.
در محاسبه کشش عرضه، مانند کشش تقاضا استفاده از مقدار و قیمت اولیه یا مقدار و قیمت جدید مقدار کشش های متفاوتی بدست می آید. برای پرهیز از این تفاوت، می توان از متوسط مقدار و قیمت اولیه و جدید استفاده نمود.
کشش و منحنی تقاضا
در ادامه به رابطه مفهوم کشش و منحنی تقاضا اشاره می نماییم. نمودارهای زیر، کشش را در دو حالت بررسی می کنند:
منحنی عمودی تقاضا
شکل زیر یک منحنی تقاضای عمودی را نشان می دهد:
وقتی منحنی تقاضا عمودی است کشش برابر با صفر است و تقاضا، واکنشی نسبت به قیمت ندارد. بدین معنا که افزایش یا کاهش قیمت کالا تاثیری بر میزان تقاضا برای آن کالا ندارد و مصرف کنندگان در هر صورت مقدار مشخصی از آن کالا را مصرف خواهند نمود.
منحنی افقی تقاضا
در شکل زیر یک منحنی تقاضای افقی نشان داده شده است:
وقتی منحنی تقاضا افقی است کشش بی نهایت است و تقاضا با کشش. این نمودار یک حالت حدی از یک نمودار با شیب نزدیک به صفر است که در آن تغییر کوچکی در قیمت باعث ایجاد تغییر بسیار زیادی در تقاضا می گردد. به بیان دیگر میزان تقاضا به قیمت کالا بسیار حساس است.
درآمد نهایی و هزینه نهایی
در این قسمت به معرفی مفاهیم درآمد و هزینه نهایی پرداخته و رابطه آن را با کشش قیمتی تقاضا و همچنین قیمت کالا بررسی می نماییم.
درآمد کل (TR) برابر است با تعداد محصول فروخته شده ضرب در قیمت فروش محصول:
TR = P × Q
درآمد نهایی (MR) برابر است با درآمد حاصل از فروش آخرین واحد محصول. در واقع درآمد نهایی برابر است با شیب منحنی درآمد کل.
برای درک بهتر این دو مفهوم به جدول زیر توجه نمایید:
| MR | TR | P | Q |
| – | 0 | 100 | 0 |
| 90 = 0 – 90 | 90 | 90 | 1 |
| 70 = 90 – 160 | 160 | 80 | 2 |
| 50 = 160 – 210 | 210 | 70 | 3 |
جدول فوق نشان می دهد که به عنوان مثال اگر 2 واحد از محصولی به قیمت هر واحد 80 تومان به فروش برسد، درآمد کل شرکت برابر خواهد بود با 160 تومان. حال فرض می کنیم که تعداد فروش محصول را از 2 به 3 می رسانیم. در این حالت قیمت کالا نیز از 80 تومان به 70 تومان کاهش می یابد. در این حالت درآمد کل شرکت برابر می شود با 210 تومان. بنابراین با یک واحد افزایش تعداد محصول فروخته شده، درآمد کل از 160 به 210 تومان افزایش می یابد، بنابراین می توان فرض نمود که آخرین محصول فروخته شده درآمدی برابر با 50 تومان برای شرکت به همراه داشته است و به همین دلیل درآمد نهایی شرکت برابر 50 تومان می گردد.
گفتیم که درآمد نهایی برابر است با شیب منحنی درآمد کل. هنگامی که شیب یک نمودار مثبت است در واقع با یک تابع صعودی مواجه هستیم (که در اینجا بدین معنا است که اگر درآمد نهایی مثبت باشد، با افزایش تعداد محصول فروخته شده، درآمد افزایش می یابد). هنگامی که شیب یک تابع منفی می شود، با یک تابع نزولی مواجه می شویم (که در اینجا بدین معنا است که اگر درآمد نهایی منفی باشد، با افزایش تعداد محصول فروخته شده، درآمد کاهش می یابد) و در نهایت هنگامی که شیب تابع در یک نقطه برابر صفر باشد، تابع به ماکزیمم خود خواهد رسید (در اینجا بدین معنی است که در نقطه ای که درآمد نهایی برابر صفر شود، درآمد کل ماکزیمم می شود).
علاوه بر روابط فوق، میتوان ارتباطی معنادار بین مفهوم کشش قیمتی تقاضا و درآمد و هزینه نهایی برقرار نمود. با صرف نظر از محاسبات مربوطه، در اینجا صرفاً به بیان نتایج بحث می پردازیم:
می دانیم که درآمد کل برابر است با تعداد کالای فروخته شده ضرب در قیمت کالای فروخته شده. از طرف دیگر می دانیم که با افزایش تعداد محصول فروخته شده، قیمت کاهش می یابد. حال با یک مسئله مواجه می شویم؛ با افزایش تعداد محصول فروخته شده، درآمد کل چه تغییری می کند؟
برای پاسخ به این سوال باید به مفهوم کشش قیمتی تقاضا توجه نماییم:
- اگر کالا پُر کشش باشد (E>1)، در این حالت افزایش Q تاثیری بیشتر از کاهش P خواهد داشت و لذا درآمد کل افزایش می یابد:
- اگر کالا کم کشش باشد (E<1)، در این حالت کاهش P بر تاثیر افزایش Q غلبه می کند و لذا درآمد کل کاهش می یابد.
- اگر کالا کشش واحد داشته باشد، درآمد کل در حالت ماکزیمم است.
خلاصه موارد ذکر شده در بالا را می توان به صورت زیر بیان نمود:
- MR>0 بدین معنا است که تابع درآمد کل صعودی است، کالا با کشش است (E>1) و با افزایش تعداد فروش محصول (کاهش قیمت)، درآمد کل افزایش می یابد.
- MR<0 بدین معنا است که تابع درآمد کل نزولی است، کالا کم کشش است (E<1) و با افزایش تعداد فروش محصول (کاهش قیمت)، درآمد کل کاهش می یابد.
- MR=0 بدین معنا است که کشش قیمتی تقاضا کالا برابر یک است (E=1) و در این سطح از فروش، درآمد کل ماکزیمم می شود.
مثال) واحد بازاریابی یک بنگاه، قصد دارد به منظور افزایش درآمد بنگاه، قیمت محصولات خود را افزایش دهد. در چه صورتی این تصمیم صحیح خواهد بود؟
افزایش قیمت محصولات تنها در حالتی درآمد کل شرکت را افزایش می دهد که کالا بی کشش باشد.
منابع
مقاله علمی و آموزشی «مفهوم کشش در اقتصاد»، نتیجه ی تحقیق و پژوهش، گردآوری و نگارش هیئت تحریریه پورتال یو سی (شما می توانید) می باشد. در این راستا کتاب آمادگی آزمون اصول بازار سرمایه، نوشته ی محمد احمدی از انتشارات آریانا قلم، منتشر شده در شهریور ۱۳۹۱ با شابک ۱-۴۸-۶۲۲۷-۶۰۰-۹۷۸ به عنوان منبع اصلی مورد استفاده قرار گرفته است.












